bat365在线中国登录入口
学校首页
设为首页
加入收藏
本站首页
后勤概况
机构设置
政策法规
规章制度
党建工作
部门快讯
下载中心
通知公告
您现在的位置
本站首页
>
通知公告
>
正文
>
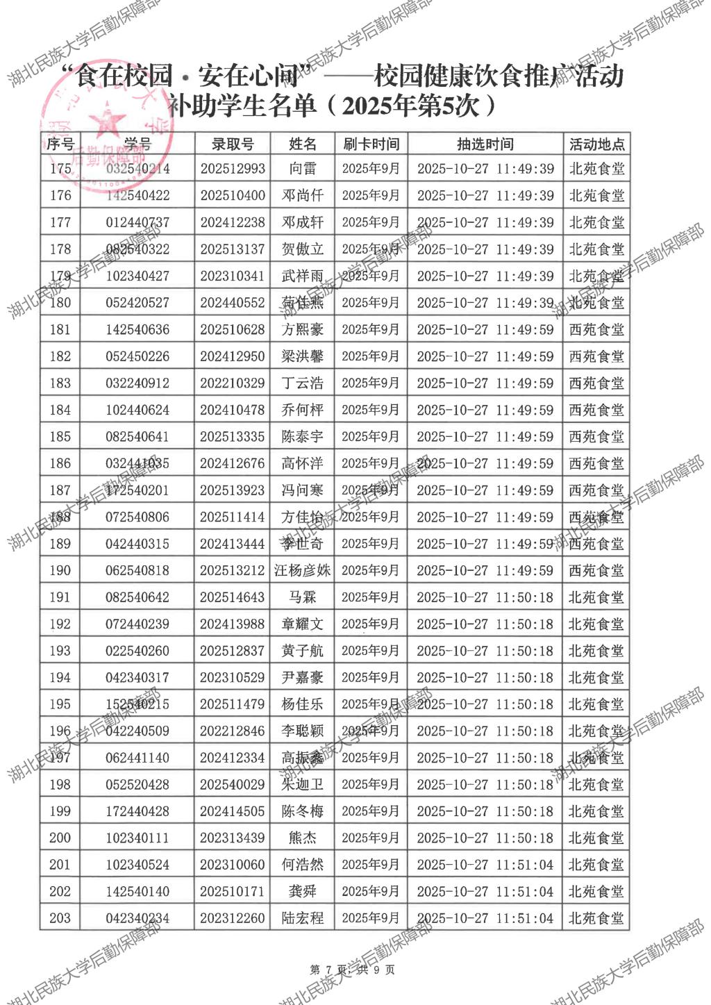
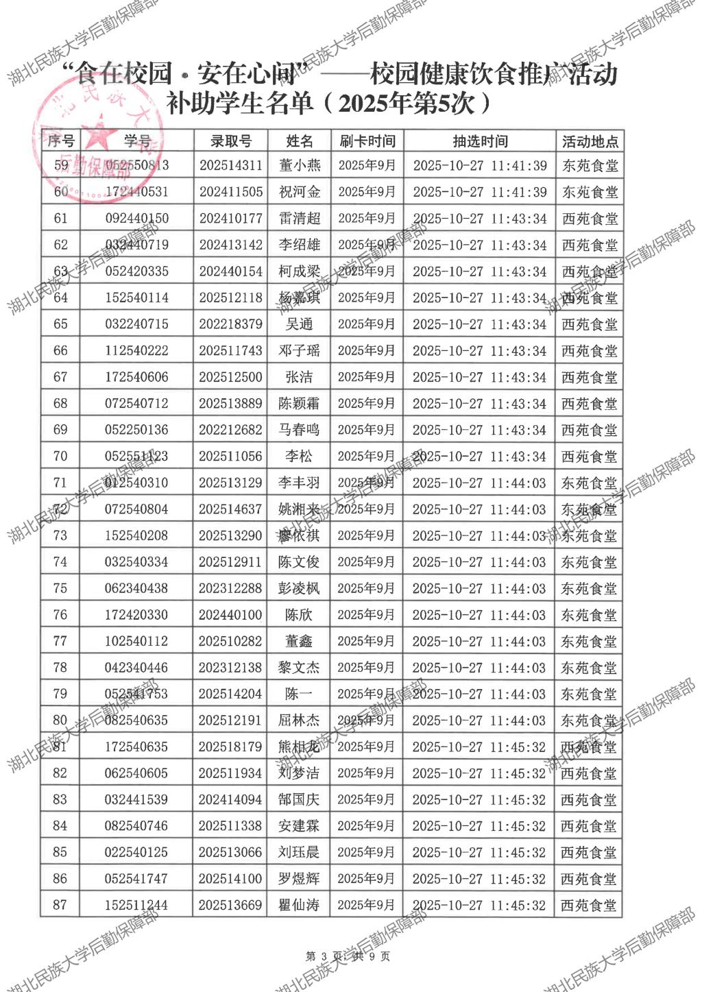
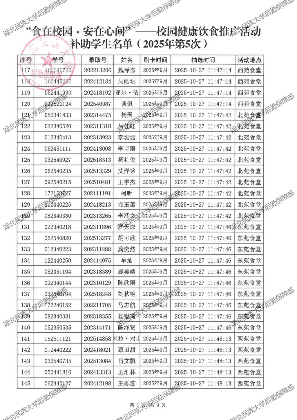
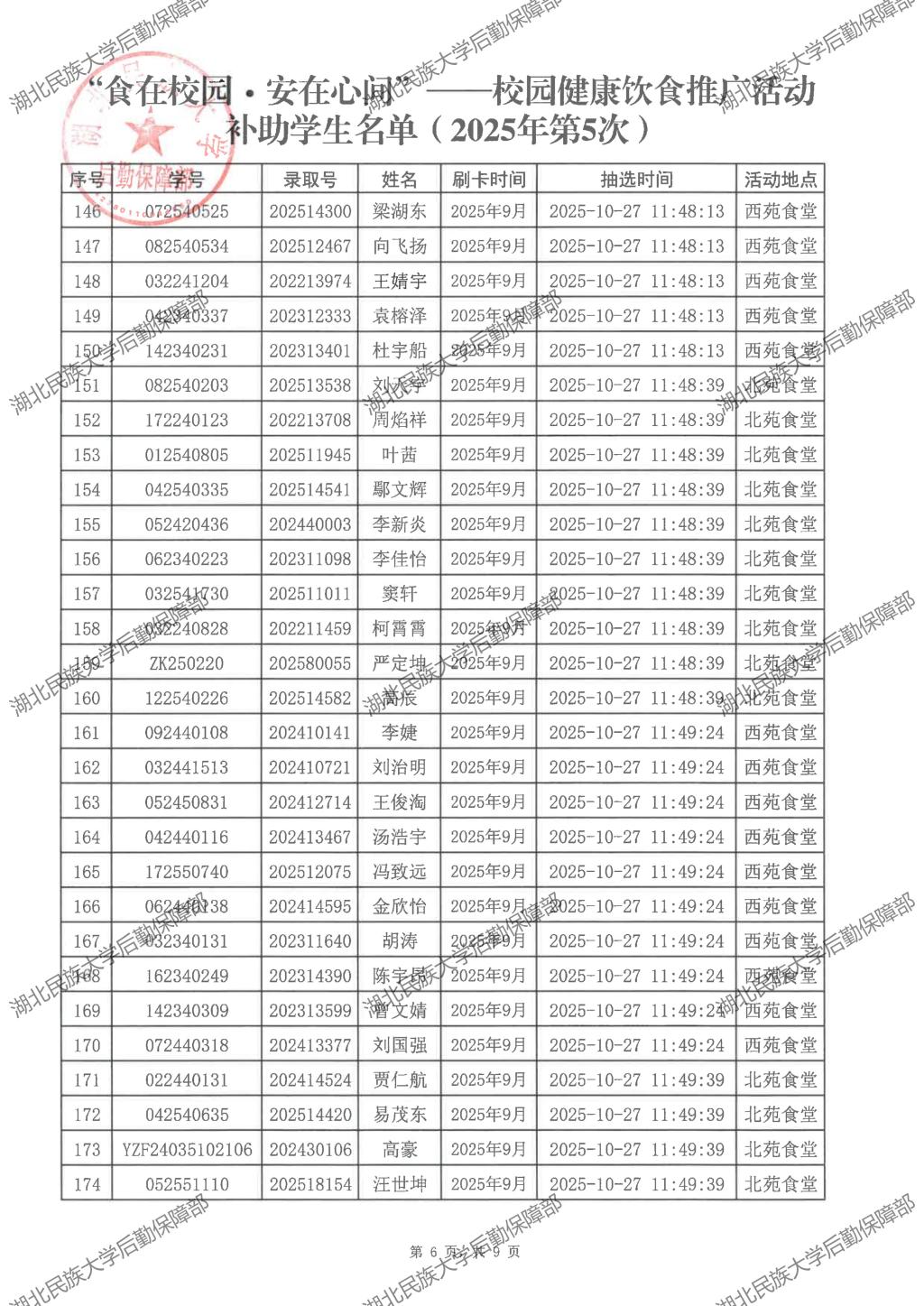
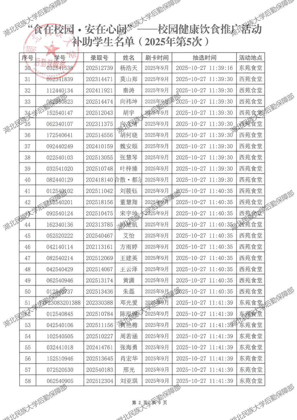
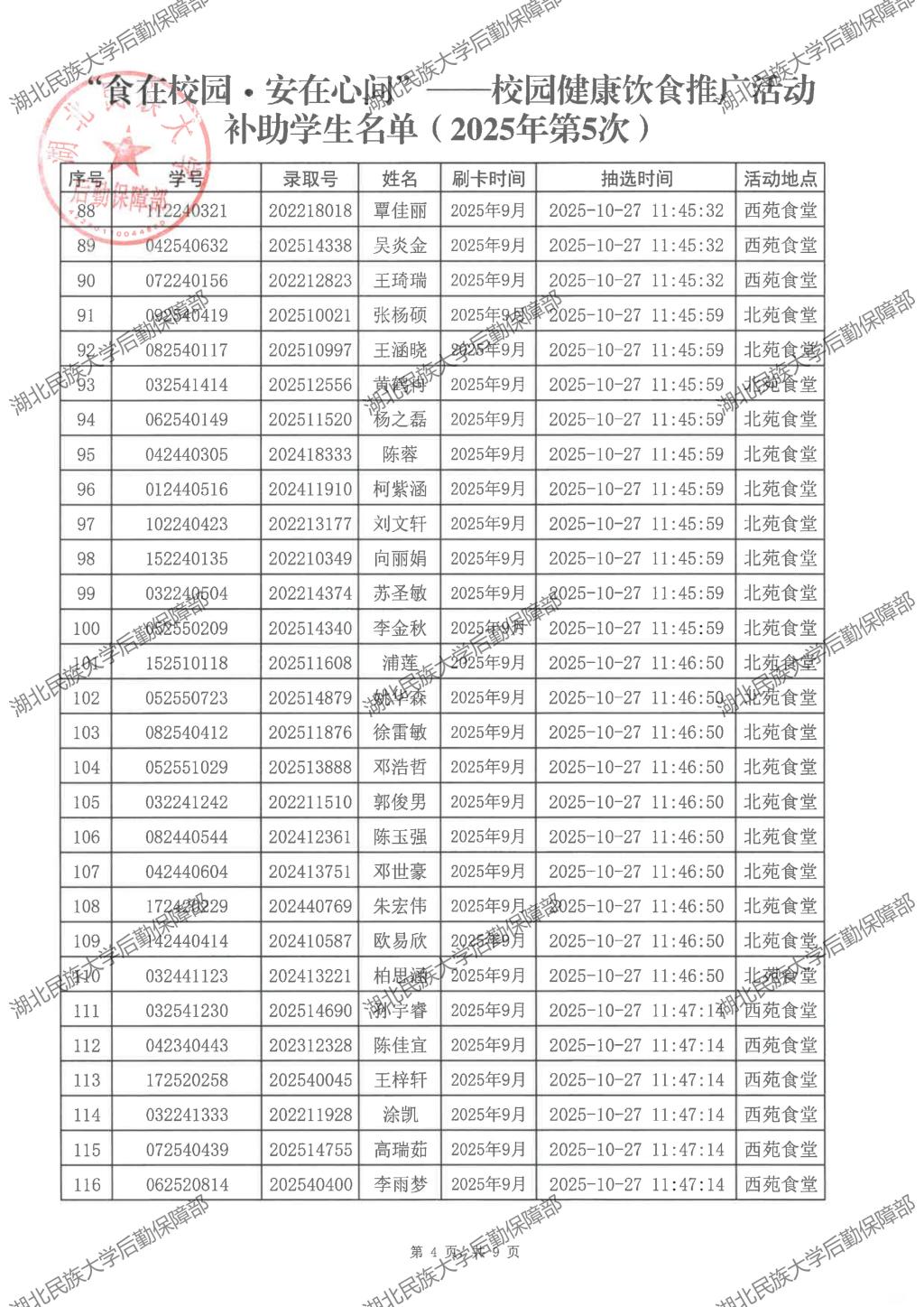
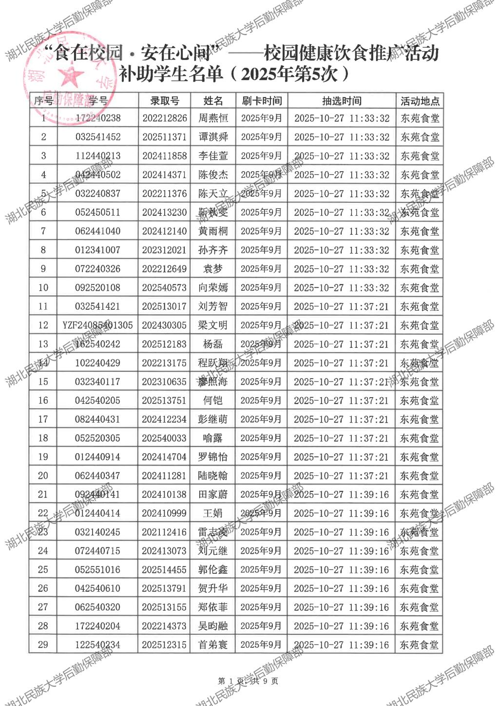
“食在校园·安在心间”——校园健康饮食推广活动(2025年第5次)补助学生名单公示
2025-10-27 17:25:24
来源:
点击量:
【字体:
大
中
小
】
打印
【打印本页】
【我要纠错】
【关闭窗口】
上一篇:
“食在校园·安在心间”——校园健康饮食推广活动(2025年第6次)补助学生名单公示
下一篇:
“食在校园·安在心间”——校园健康饮食推广活动(2025年第4次)补助学生名单公示
友情链接
湖北省教育厅
湖北省学校后勤网
bat365在线中国登录入口
bat365在线中国登录入口国有资产与招投...
恩施土家族苗族自治州公共资...